Matemáticas
Tecnología y Matemáticas
- www.escuelajosedeescandon.edu.mx
jueves, 8 de agosto de 2019
miércoles, 4 de octubre de 2017
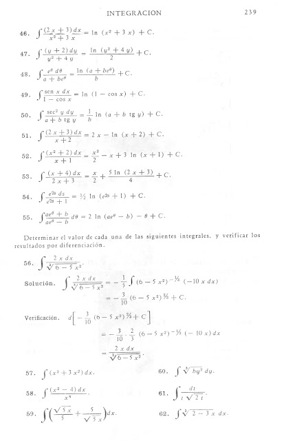
SUBTEMA CÁLCULO INTEGRAL INTEGRACIÓN SUSTITUCIÓN TRIGONOMÉTRICA
video1,
integrales - ejemplos1 , ejemplo2 , ejemplo3 , ejemplo4
Integrales problemas problemas
ejemplos de Integrales
integrales Exponenciales
G
Gottfried Wilhelm Freiherr von LEIBNITZ
integrales - ejemplos1 , ejemplo2 , ejemplo3 , ejemplo4
Integrales problemas problemas
ejemplos de Integrales
integrales Exponenciales
G
Gottfried Wilhelm Freiherr von LEIBNITZ
Formularios para imprimir y enmicar
Publicado por:
Ing. José Alejandro Salinas O.
Cálculo integral (preparatoria)
Cálculo, rama de las matemáticas que se ocupa del estudio de los incrementos en las variables, pendientes de curvas, valores máximo y mínimo de funciones y de la determinación de longitudes, áreas y volúmenes. Su uso es muy extenso, sobre todo en ciencias e ingeniería, siempre que haya cantidades que varíen de forma continua.
Evolución histórica
El cálculo se deriva de la antigua geometría griega. Demócrito calculó el volumen de pirámides y conos, se cree que considerándolos formados por un número infinito de secciones de grosor infinitesimal (infinitamente pequeño), y Eudoxo y Arquímedes utilizaron el "método de agotamiento" para encontrar el área de un círculo con la exactitud requerida mediante el uso de polígonos inscritos. Sin embargo, las dificultades para trabajar con números irracionales y las paradojas de Zenón de Elea impidieron formular una teoría sistemática del cálculo. En el siglo XVII, Cavalieri y Torricelli ampliaron el uso de los infinitesimales, y Descartes y Fermat utilizaron el álgebra para encontrar el área y las tangentes (integración y diferenciación en términos modernos). Fermat y Barrow tenían la certeza de que ambos cálculos estaban relacionados, aunque fueron Newton (hacia 1660) y Leibniz (hacia 1670) quienes demostraron que son inversos, lo que se conoce como teorema fundamental del cálculo. El descubrimiento de Newton, a partir de su teoría de la gravedad, fue anterior al de Leibniz, pero el retraso en su publicación aún provoca disputas sobre quién fue el primero. Sin embargo, terminó por adoptarse la notación de Leibniz.
En el siglo XVIII aumentó considerablemente el número de aplicaciones del cálculo, pero el uso impreciso de las cantidades infinitas e infinitesimales, así como la intuición geométrica, causaban todavía confusión y controversia sobre sus fundamentos. Uno de sus críticos más notables fue el filósofo Berkeley. En el siglo XIX los analistas matemáticos sustituyeron esas vaguedades por fundamentos sólidos basados en cantidades finitas: Bolzano y Cauchy definieron con precisión los límites y las derivadas, Cauchy y Riemann hicieron lo propio con las integrales, y Dedekind y Weierstrass con los números reales. Por ejemplo, se supo que las funciones diferenciables son continuas y que las funciones continuas son integrables, aunque los recíprocos son falsos. En el siglo XX, el análisis no convencional, legitimó el uso de los infinitesimales. Al mismo tiempo, la aparición de los ordenadores o computadoras ha incrementado las aplicaciones del cálculo.
Leibnitz nació en Léipzig en 1646. De niño aprendió latín y griego. Estudió Filosofía, Matemática y Derecho; en esta última se doctoró a los veinte años de edad. En 1668 ingresó en la corte del Arzobispo Elector de Maguncia, en cuya representación recorrió toda Europa. Luego de la caída del Elector se marchó a París, donde conoció, entre otros, al filósofo cartesiano Malebranche. En Londres recibió el nombramiento de miembro de la Royal Society. En La Haya visitó a Spinoza. Llegó incluso a recibir la invitación para transformarse en el director de la Biblioteca Vaticana. A él debe la Matemática el descubrimiento del Cálculo Infinitesimal. Tuvo mucho que ver con la fundación de la Academia de Ciencias de Berlín, de la cual fue además presidente vitalicio. Hacia 1713 se desató la polémica entre Leibnitz y la Royal Society respecto de a quién debía reconocerse como descubridor del Cálculo Infinitesimal. Para esa época había perdido el favor de nobles y gobernantes. Murió en soledad a los setenta años de edad.
Sus obras son, en general, breves. Muchas de ellas fueron publicadas en forma de artículos en revistas. Entre sus obras filosóficas se destacan Discurso de Metafísica (1686), Nuevo sistema de la Naturaleza (1695), Nuevos ensayos sobre el entendimiento humano (1703), Ensayos de Teodicea sobre la bondad de Dios, la libertad del hombre y el origen del mal (1710), Principios de la Naturaleza y de la gracia (1714) y Monadología (1714).
Sus contemporáneos lo consideraban un genio. Y si bien se dedicó a la Ciencia y, en especial, a la Matemática, nunca perdió de vista el valor de la Filosofía ni dejó de creer posible el logro de una philosophia perennis (expresión que tomó de Agostino Steuco y que contribuyó a hacer célebre). En carta a Nicolás Remond dice: “La verdad se halla más difundida de lo que se cree, pero se halla a menudo demasiado compuesta, y también a menudo muy envuelta y hasta debilitada, mutilada, corrompida por añadidos que la echan a perder o la hacen menos útil. Si se pusieran de relieve esas huellas de la verdad en los antiguos o en los filósofos anteriores a nosotros, se extraería el oro del barro, el diamante de su mina, y la luz de las tinieblas, y esto sería algo así como una ‘filosofía perenne’.” Lo preocupa la crisis que afrontan la concepción teleológica (finalista) del Universo y el concepto se substancia.
Centrando su atención sobre el concepto de átomo del atomismo moderno, sostenía que hablar de partículas indivisibles no tiene sentido, ya que todo lo extenso es divisible in infinitum. No siendo la realidad última res extensa, ha de ser res cogitans, realidad anímica. La realidad es metafísica y la extensión y el movimiento no son sino manifestaciones suyas (fenómenos). El fondo último de la realidad es inespacial, inextenso y, por tanto, simple, indivisible e inmaterial; es energía capaz de autodesarrollar sus potencialidades. La concepción que Leibnitz tiene de la substancia se asemeja a propósito a la "forma sustancial" aristotélica. Llama "mónadas" a estos infinitos centros de energía. “Las mónadas o substancias simples son las únicas substancias verdaderas y las cosas materiales no son más que fenómenos, aunque bien fundados y coordinados.”
Leibnitz no sólo habla de la mónada en cuanto átomo o elemento indivisible y último, sino también en cuanto totalidad. Cada mónada es un espejo de la totalidad, tiene en sí la representación de todo el Universo. Además, hay mónadas que dominan a grupos de mónadas inferiores, como es el caso de las almas de los seres vivos. Estas mónadas dan unidad al conjunto.
Las mónadas, siendo absolutamente simples, no pueden descomponerse en partes y, por tanto, no pueden perecer. Dios las crea directamente y sólo Él las puede aniquilar. Por su simplicidad, no pueden recibir nada de afuera y no se comunican entre sí. “Las mónadas no tienen ventanas.” Su acción es espontánea, no proviene de la causalidad sino de la finalidad. Cada mónada representa al Universo entero, aunque no necesariamente de un modo consciente (llama "apercepción" a la percepción consciente y "percepción simple" a la percepción inconsciente). La aparente interacción de las substancias entre sí se debe a la "armonía preestablecida por Dios al crear", por lo que cuando cada mónada obra espontáneamente lo hace en armonía total con las demás. Para graficar esta teoría recurre Leibnitz a una comparación que ya había formulado Geulincx (ocasionalismo): lo que Dios hizo al crear el mundo fue algo similar a lo que hace el relojero que fabrica dos relojes; cada uno de ellos marca la misma hora que el otro con el sólo hecho de seguir su propio mecanismo y sin relacionarse con el otro.
Los cuerpos, a diferencia de las mónadas, son extensos. Son fenómenos o manifestaciones de las mónadas y son compuestos.
Afirma, junto a Descartes, la existencia de las ideas innatas, que versan sobre verdades de razón (necesarias, referidas a las esencias y al mundo de la posibilidad) y no de hecho (contingentes, referidas a la existencia temporal). Pero aclara que estas ideas innatas no están desde un principio en acto, como contenidos conscientes, sino en potencia de ser conocidas por la sola razón. Habiendo definido a la mónada como cerrada y sin ventanas, Leibnitz sostiene que tanto el conocimiento de razón como el de hecho provienen de la propia mente. Ambos conocimientos no se distinguen por lo tanto por su origen sino por su objeto, que para uno es lo necesario y para el otro lo contingente.
El mundo, en cuanto contingente, podría haber sido de otro modo. Leibnitz sostiene que Dios eligió a éste de entre los muchos que podría haber creado por ser el mejor de los mundos posibles. No afirma con ello que el mundo sea perfecto, ya que el único perfecto es Dios. Su finitud implica la presencia del mal físico y moral. Considerando de suma importancia el fundamentar la providencia de Dios a pesar de la presencia del mal en el mundo, Leibnitz propuso fundar una nueva disciplina, la Teodicea, cuya meta era mostrar cómo esto es posible.

lunes, 10 de agosto de 2015
Tema I cálculo integrales y formulario
TEMA I
1.2 La integral indefinida.
Formularios
1.1 La diferencial.
Suscribirse a:
Comentarios (Atom)




















































































































































